I am Pengfei Wang (王鹏飞), a Ph.D. candidate at the Interdisciplinary Research Center, Shandong University, where I have been conducting research under the supervision of Prof. Changhe Tu and Prof. Shiqing Xin.
I grew up in Binzhou, Shandong, China. I spent my most memorable time at Beizhen Middle School (class of 2014), where I made some truly great friends.
") does not match the recommended repository name for your site ("").
", so that your site can be accessed directly at "http://".
However, if the current repository name is intended, you can ignore this message by removing "{% include widgets/debug_repo_name.html %}" in index.html.
",
which does not match the baseurl ("") configured in _config.yml.
baseurl in _config.yml to "".

Pengfei Wang; Shuangmin Chen; Dongming Yan; Ying He; Shiqing Xin; Changhe Tu; Wenping Wang.
ACM Transactions on Graphics (Proceedings of SIGGRAPH) 2026
We introduce a QEM-based simplification approach that explicitly tracks surface correspondence to generate clean, scalable, and structurally aligned Medial Axis Transforms (MATs), even under extreme simplification.
Pengfei Wang; Shuangmin Chen; Dongming Yan; Ying He; Shiqing Xin; Changhe Tu; Wenping Wang.
We introduce a QEM-based simplification approach that explicitly tracks surface correspondence to generate clean, scalable, and structurally aligned Medial Axis Transforms (MATs), even under extreme simplification.

Pengfei Wang; Qinghao Guo; Haisen Zhao; Shiqing Xin; Shuangmin Chen; Changhe Tu; Wenping Wang.
ACM Transactions on Graphics (Proceedings of SIGGRAPH) 2026
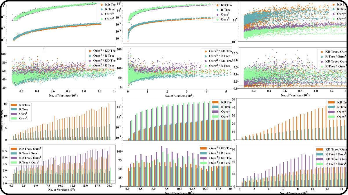
We introduce Manifold k-NN, a recursive framework that accelerates k-NN queries on manifold point clouds by 3x-5x over kd-trees, natively supporting dynamic prefix queries and neighborhood maintenance.
Pengfei Wang; Qinghao Guo; Haisen Zhao; Shiqing Xin; Shuangmin Chen; Changhe Tu; Wenping Wang.
We introduce Manifold k-NN, a recursive framework that accelerates k-NN queries on manifold point clouds by 3x-5x over kd-trees, natively supporting dynamic prefix queries and neighborhood maintenance.

Pengfei Wang; Ziyang Zhang; Wensong Wang; Shuangmin Chen; Lin Lu; Shiqing Xin; Changhe Tu.
IEEE Transactions on Visualization and Computer Graphics (TVCG) 2026
A novel isosurface extraction framework that leverages incrementally constructed power diagrams and adaptive sampling to capture intricate geometric and topological details from Signed Distance Fields with minimal computational cost.
Pengfei Wang; Ziyang Zhang; Wensong Wang; Shuangmin Chen; Lin Lu; Shiqing Xin; Changhe Tu.
A novel isosurface extraction framework that leverages incrementally constructed power diagrams and adaptive sampling to capture intricate geometric and topological details from Signed Distance Fields with minimal computational cost.

Pengfei Wang*; Yuexin Yang*; Shuangmin Chen; Shiqing Xin; Changhe Tu; Wenping Wang. (* equal contribution)
Computer Graphics Forum (CGF). Presented at PG 2025
A novel multi-field tetrahedral framework that inverts motion perspective to robustly compute swept volumes with high geometric fidelity, effectively resolving complex self-intersections where traditional single-field methods fail.
Pengfei Wang*; Yuexin Yang*; Shuangmin Chen; Shiqing Xin; Changhe Tu; Wenping Wang. (* equal contribution)
A novel multi-field tetrahedral framework that inverts motion perspective to robustly compute swept volumes with high geometric fidelity, effectively resolving complex self-intersections where traditional single-field methods fail.

Pengfei Wang; Jiantao Song; Shiqing Xin; Shuangmin Chen; Changhe Tu; Wenping Wang; Jiaye Wang.
IEEE Transactions on Pattern Analysis and Machine Intelligence 2025
A novel dynamic programming framework that encodes the incremental evolution of Voronoi diagrams into a DAG to accelerate nearest neighbor search on manifolds and reduce density peak clustering complexity to $O(n \log n)$.
Pengfei Wang; Jiantao Song; Shiqing Xin; Shuangmin Chen; Changhe Tu; Wenping Wang; Jiaye Wang.
A novel dynamic programming framework that encodes the incremental evolution of Voronoi diagrams into a DAG to accelerate nearest neighbor search on manifolds and reduce density peak clustering complexity to $O(n \log n)$.

Jin Zhao*; Pengfei Wang*; Shuangmin Chen; Jiong Guo; Shiqing Xin; Changhe Tu; Wenping Wang. (* equal contribution)
Computer-Aided Design (CAD). Presented at SPM 2025
A novel offset computation paradigm that utilizes surface-constrained Voronoi decomposition and intrinsic triangulation to transform complex geodesic tracing into efficient, localized cell-traversal operations on parametric surfaces.
Jin Zhao*; Pengfei Wang*; Shuangmin Chen; Jiong Guo; Shiqing Xin; Changhe Tu; Wenping Wang. (* equal contribution)
A novel offset computation paradigm that utilizes surface-constrained Voronoi decomposition and intrinsic triangulation to transform complex geodesic tracing into efficient, localized cell-traversal operations on parametric surfaces.

Pengfei Wang; Jiantao Song; Lei Wang; Shiqing Xin; Dongming Yan; Shuangmin Chen; Changhe Tu; Wenping Wang.
IEEE Transactions on Visualization and Computer Graphics (TVCG) 2025
A high-fidelity medial axis extraction framework that generalizes Voronoi computation to 4D space via hyperplane cutting within tetrahedral elements, effectively resolving complex surface patch interactions to eliminate discretization artifacts.
Pengfei Wang; Jiantao Song; Lei Wang; Shiqing Xin; Dongming Yan; Shuangmin Chen; Changhe Tu; Wenping Wang.
A high-fidelity medial axis extraction framework that generalizes Voronoi computation to 4D space via hyperplane cutting within tetrahedral elements, effectively resolving complex surface patch interactions to eliminate discretization artifacts.

Wei Liu*; Pengfei Wang*; Shuangmin Chen; Shiqing Xin; Changhe Tu; Ying He; Wenping Wang. (* equal contribution)
Computer Aided Geometric Design (CAGD). Presented at GMP 2024
A two-stage algorithm to compute the geodesic ridge curve on triangular meshes. By cutting the surface along the dual structure of the shortest path tree and using a fast marching solver on the extended surface, we enable accurate geodesic distance querying and high-fidelity visualization of geodesic iso-lines.
Wei Liu*; Pengfei Wang*; Shuangmin Chen; Shiqing Xin; Changhe Tu; Ying He; Wenping Wang. (* equal contribution)
A two-stage algorithm to compute the geodesic ridge curve on triangular meshes. By cutting the surface along the dual structure of the shortest path tree and using a fast marching solver on the extended surface, we enable accurate geodesic distance querying and high-fidelity visualization of geodesic iso-lines.